ORIGINAL ARTICLE

Associations between Cumulative Biological Risk and Subclinical Atherosclerosis in Middle- and Older-Aged South Asian Immigrants in the United States

Sameera A. Talegawkar, PhD1,2, Yichen Jin, MSPH1, Namratha R. Kandula, MD, MPH3 and Alka M. Kanaya, MD4

1Department of Exercise and Nutrition Sciences, Milken Institute School of Public Health, The George Washington University, Washington, DC; 2Sumner M. Redstone Global Center for Prevention and Wellness, Milken Institute School of Public Health, The George Washington University, Washington, DC; 3Division of General Internal Medicine, Northwestern University Feinberg School of Medicine, Chicago, IL; 4Division of General Internal Medicine, Department of Medicine, University of California, San Francisco, CA

INTRODUCTION: The aim of this study was to investigate associations between cumulative biological risk and subclinical atherosclerosis in South Asian immigrants.

METHODS: Data from the Mediators of Atherosclerosis in South Asians Living in America (MASALA) study, including 858 participants at baseline (mean age = 56 [standard deviation = 9] years, 46% women). A cumulative biological risk score was derived using nine biomarkers across cardiovascular, immune, and metabolic systems with a possible score range of 0–9. Common and internal carotid artery intima media thickness (CIMT) and coronary artery calcium (CAC) were used as indicators of subclinical atherosclerosis.

RESULTS: Higher cumulative biological risk score was significantly associated with higher common and internal CIMT and higher odds of CAC at baseline. The odds of new CAC after 5 years of follow-up were 31% higher per 1-point increase in cumulative biological risk score, and the higher cumulative biological risk score was also associated with CAC progression.

CONCLUSIONS: Among South Asian immigrants, cumulative biological risk was directly associated with subclinical atherosclerosis and its progression.

Key Words: cumulative biological risk ◾ allostatic load ◾ subclinical atherosclerosis ◾ South Asians ◾ immigrants ◾ coronary artery calcium

 

Citation: Journal of Asian Health. 2021;8:e202104

Copyright: © 2021 Journal of Asian Health is published for open access under the license Creative Commons CC BY-NC 4.0 License. Authors have full copyright.

Received: February 11, 2021; Accepted: May 25, 2021; Published: July 12, 2021.

Competing interests and funding: The authors have not received any funding or benefits from industry or elsewhere to conduct this study. This study was funded by the NIH and a pilot award.

Correspondence to: Sameera A. Talegawkar, PhD, Department of Exercise and Nutrition Sciences, Milken Institute School of Public Health, The George Washington University, 950 New Hampshire Ave, NW, 2nd Floor, Washington, DC 20052, Tel: 202 994 8964. Email: sameera.talegawkar@alumni.tufts.edu

 

Nearly 14% of the United States (US) population in 2017 was reported to be foreign-born.1 Individuals of South Asian-origin (i.e. from Bangladesh, Bhutan, India, Maldives, Pakistan, Nepal, and Sri Lanka) are the fastest growing immigrant group in the US. South Asians have a higher burden of cardiovascular disease (CVD) and its related mortality as well as higher risk of subclinical atherosclerosis compared with non-Hispanic Whites and other US race/ethnic groups.2,3

There have been few investigations that have focused on atherosclerotic cardiovascular disease (ASCVD) and subclinical atherosclerosis among South Asians. In addition, those who do demonstrate that in addition to presenting with a high burden of ASCVD, South Asians also show higher rates of hospitalizations related to ASCVD and its complications as compared with other population subgroups, and a higher prevalence of a more severe atherosclerotic as determined by both increased mean percent stenosis and a higher number of patients with multiple diseased vessel segments.49 Study of traditional risk factors has been the focus of most investigations examining the reasons for this excess ASCVD risk; however, attention needs to be paid to the risk factors that are not as commonly studied including those that may be unique to South Asians.

Allostatic load, also referred to as cumulative biological risk, is a summary index across multiple physiological systems in response to stress when adaptive responses are unceasingly outside the normal range of operation, leading to dysregulations in biologic systems which can no longer support normal functionality of the body.10 Observational studies have demonstrated that higher scores on these indices, indicating higher cumulative biological risk or allostatic load, are associated with a higher cardiometabolic disease risk,11 CVD,12 type 2 diabetes,13 age-related declines in physical and cognitive function,14,15 and mortality.16 However, little is known about the influence of cumulative biological risk on cardiovascular health in South Asian immigrants.

In this study, we investigated the associations of cumulative biological risk on subclinical atherosclerosis and its progression among middle- and older-aged South Asian immigrants in the US.

POPULAR SCIENTIFIC SUMMARY

METHODS

We used existing baseline and follow-up data from the Mediators of Atherosclerosis in South Asians Living in America (MASALA) study.17 Being initiated in 2010, over a 3-year period, investigators recruited 906 South Asians living in San Francisco and the greater Chicago areas using surname-based methods. A follow-up examination was conducted in 2015–2018 and included 749 participants. All participants underwent interviews and clinical examinations at the study sites (University of California, San Francisco, and Northwestern University). Information on sociodemographic characteristics, dietary intake, physical activity, acculturation status, psychosocial factors, physical exam, and 12-hour fasting laboratory tests were collected. The MASALA study protocol was approved by the institutional review boards of University of California, San Francisco, and Northwestern University, and all participants signed an informed consent prior to undergoing study procedures. Investigators at the George Washington University were provided deidentified extant data and had no access to identifiers or study participants; therefore, the George Washington University deemed this project as not human subject research.

For our regression analysis, we excluded participants missing a component of the summary cumulative biological risk index at baseline (n = 20), or those who were not first-generation immigrants (n = 19), or missing baseline coronary artery calcium (CAC) information (n = 9). The final analytic sample included 858 South Asians at baseline, among whom, 669 (78%) South Asians had repeat CAC data at the follow-up examination approximately 5 years later.

Measures of cumulative biological risk

Cumulative biological risk was derived based on a summary measure of biomarkers of cardiovascular, metabolic, and inflammatory systems. The index was based on data availability in the MASALA study at baseline and includes components utilized by other cohorts.1820 The nine biomarkers included: 1) systolic and 2) diastolic blood pressure (in mm Hg), measured in a seated position using an automated blood pressure machine (V100 Vital Signs Monitor, GE Healthcare), and last two blood pressure measures out of three were averaged and used for analysis; 3) glycosylated hemoglobin, measured by high-performance liquid chromatography using an automated analyzer; 4) high sensitivity C-reactive protein (CRP), measured by the BNII nephelometer Siemens Healthcare Diagnostics, Deerfield, IL; 5) total cholesterol and 6) triglyceride, measured by enzymatic methods; 7) body mass index (BMI), calculated as weight divided by height squared (kg/m2) using standard methods; 8) estimated glomerular filtration rate (eGFR) was calculated using CKD-EPI equation21; 9) serum albumin, measured as part of a comprehensive metabolic panel using spectrophotometry methods (Quest Diagnostics). Quartiles of each component were calculated, and participants received 1 point if they were in highest quartile for systolic and diastolic blood pressure, glycosylated hemoglobin, CRP, total cholesterol, triglyceride, and BMI, and in lowest quartile for eGFR and albumin, as being at high risk. Participants who took medications for hypertension, dyslipidemia, or diabetes were also assigned 1 point for systolic and diastolic blood pressure, total cholesterol, or glycosylated hemoglobin, respectively. A possible range of cumulative biological risk score was from 0 to 9, with higher scores indicated higher cumulative biological risk.

Measures of subclinical atherosclerosis

CAC was assessed at both baseline and follow-up examination by Agatston score, generated with the use of non-contrast gated-cardiac computed tomography (CT) scans examining participants in the supine position from superior to inferior with 46 images of 3.0-mm slice thickness. All CT scans were read using Rephot Imaging software in the Reading Center at Harbor–UCLA Medical Center, and the summary CAC Agatston score of the four major coronary arteries was calculated and used in the analyses. In the cohort, the measure of CAC was highly skewed with several participants having no measurable CAC; therefore, CAC Agatston score was analyzed as a categorical variable with three categories: CAC = 0, 0 < CAC < 400, or CAC ≥ 400.

We also assessed common and internal carotid artery intima media thickness (CIMT) at baseline with high-resolution B-mode ultrasonography. Eight arterial segments from the near and far wall images were analyzed from common and internal carotid artery. All images were read at the Ward A. Riley Ultrasound Reading Center at Wake Forest School of Medicine for wall-thickness measurements. Common and internal CIMT were examined on a continuous scale.

Covariates

Covariates adjusted in the analysis included age, sex, study site, education, family income, marital status, medical insurance status, years of residence in the US, smoking status, alcohol intake, intentional exercise, and vegetarian status at baseline and assessed by structured interview questions and study questionnaires. Education was classified as Bachelor’s degree or higher, or less than a Bachelor’s degree. Family income was categorized as < $40K, $40 – 75K, $75 –100K, and > $100K per year. Marital status was classified into four categories: married, separated/divorced, widowed, or single. Insurance status was categorized as government, Health Maintenance Organization (HMO), other, and none. Smoking status was categorized as never, former, or current smoker. Alcohol intake was analyzed as having more than 1 drink per week or not. Intentional exercise was assessed by the Typical Week’s Physical Activity Questionnaire and included activities of waking for exercise, dance, conditional activities, and sports. We calculated total metabolic equivalent of task minutes per week for analysis.22 Participants were considered to be vegetarian if they did not report consumption of meat, poultry, or fish in the previous year as reported on the FFQ. Selection of covariates was based on published literature from investigations with allostatic load and chronic disease outcomes and previously published investigations with the MASALA cohort with subclinical atherosclerosis outcomes.11,2325

Statistical analysis

Sociodemographic characteristics were reported as mean (standard deviation) or median (interquartile range) and percentage for continuous and categorical variables, respectively. ANOVA or Kruskal–Wallis and Chi-square tests were used to assess the univariate associations between sociodemographic characteristics and CAC. Cross-sectional associations between cumulative biological risk with common and internal CIMT were performed using multivariable linear regression, while multinomial logistic regression was used to examine association between cumulative biological risk and CAC categories, adjusting for all covariates described previously. For association between cumulative biological risk at baseline and new CAC (CAC score>0) at follow-up, multiple logistic regression was performed among participants with CAC score = 0 at baseline.

Progression of CAC was assessed as any change in CAC between baseline and follow-up visits. The change of CAC score was natural log transformed due to its positive skewness, and 16 participants with a negative value of change between follow-up visit and baseline were considered as no change. Multiple linear regression models were used to examine the association between cumulative biological risk at baseline and CAC progression, and baseline CAC analyzed as natural log CAC score was additionally adjusted. A point of 1 was added for change of CAC score and baseline CAC score before performing natural log transformation.

We also tested for effect modification by age, sex, and years of residence in US by adding an interaction term in all regression models. All regression models were adjusted for covariates mentioned above. All analyses were performed using SAS 9.4, and a two-tailed alpha = 0.05 was used for statistical significance.

RESULTS

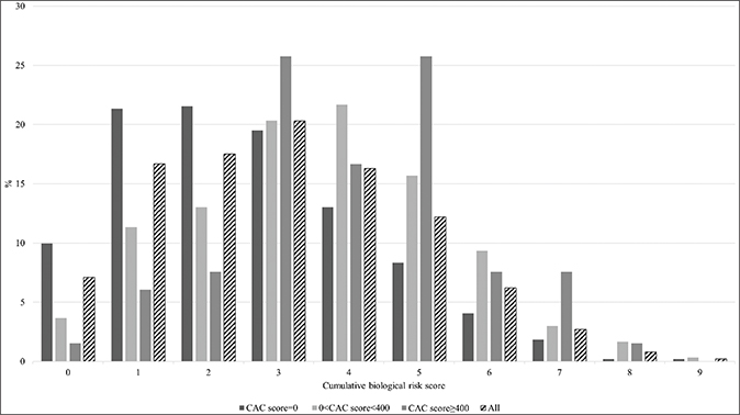
The univariate analysis for associations between sociodemographic characteristics and CAC categories at baseline is shown in Table 1. All participants included in the analyses were foreign born (first-generation immigrants). The mean age of the participants at baseline was 56 years with 46% women. The majority of cohort had high education levels, family income more than $75,000, were married, and reported being non-smokers. More than half of the study participants had a CAC score of 0, 35% had a CAC score between 0 and 400, and 8% had a CAC score ≥400. Participants with a higher CAC score were older (P < 0.001), more likely to be men (P < 0.001), had lower family income (P = 0.002), had government insurance (P < 0.001), had lived in the US for a longer time (P < 0.001), were widowed, separated, or divorced (P = 0.005), and identified as being a current smoker (P < 0.001) or non-vegetarian (P = 0.016). About 7% of study participants had a cumulative biological risk score of 0 (Fig. 1). Among individuals with no CAC, 10% had 0 score for cumulative biological risk, while only less than 4% of individuals with CAC had a score of 0. Compared to CAC score = 0, individuals with CAC tend to have higher cumulative biological risk score (P < 0.001).

Table 1. Sociodemographic characteristic by coronary artery calcium (CAC) score categories at baseline in the Mediators of Atherosclerosis in South Asians Living in America (MASALA) study, 2010–2013.
  Overall (n = 858) CAC score = 0 (n = 492) 0 < CAC score < 400 (n = 300) CAC score = 400 (n = 66) P
Age, years 55.6 (9.3) 52.1 (7.8) 59.1 (9.0) 66.0 (6.9) <0.001
Female 46.3 61.4 28.0 16.7 <0.001
NWU study site 45.5 42.7 51.0 40.9 0.055
Bachelor’s degree or higher 87.8 87.8 87.7 87.9 0.998
Family incomea 0.002
-<$40K 13.2 9.8 17.1 21.0
-$40–75K 13.6 11.7 15.8 17.7
-$75–100K 10.2 9.4 11.0 12.9
->$100K 63.0 69.1 56.2 48.4
Marital status 0.005
-Married/living with partner 91.7 92.9 90.7 87.9
-Separated or divorced 2.9 3.9 1.0 4.5
-Widowed 4.0 2.2 6.0 7.6
-Single 1.4 1.0 2.3 0
Insurance statusa <0.001
-Government 15.4 7.3 22.3 43.9
-HMO 72.1 79.4 66.0 45.5
-Other 3.7 3.9 3.3 4.5
-None 8.8 9.4 8.3 6.1
Smoking status <0.001
-Never 83.1 88.6 74.3 81.8
-Former 13.8 9.1 21.7 12.1
-Current 3.1 2.2 4.0 6.1
Vegetariana 38.2 41.4 35.9 23.8 0.016
Intentional exercise, MET-min/week 945 (315–1,860) 945 (315–1,890) 983 (323–1,800) 799 (315–1,890) 0.929
Alcohol intake, 1+ drink/week 32.3 29.7 35.7 36.4 0.165
Years of residency in US 27.1 (10.8) 24.6 (9.9) 29.6 (10.8) 34.1 (11.4) <0.001
Note: mean (standard deviation), percentage, and median (interquartile range) were reported.
MET-min = metabolic equivalent minutes; NWU = Northwestern University.
a, n = 833 for family income; n = 857 for insurance status; n = 846 for vegetarian status.

Fig 1
Figure 1. Baseline cumulative biological risk score by coronary artery calcium (CAC) categories. A Chi-square test was used to examine the univariate association between cumulative biological risk score and CAC categories (P < 0.001).

Table 2 shows the adjusted associations between cumulative biological risk with common and internal CIMT, at baseline. Individuals with 1 point higher cumulative biological risk score had a 0.01 mm higher common CIMT (95% confidence interval [CI]: 0.01–0.02, P < 0.001). A significant interaction with age at the median (55 years) as cutoff was observed for the association between cumulative biological risk and internal CIMT (P = 0.002), and hence stratified results are reported. Among individuals less than 55 years old, a 1 point increase of cumulative biological risk score was associated with 0.02 mm higher internal CIMT (95% CI: 0.01–0.04, P = 0.003), and 0.07 mm higher among individuals ≥ 55 years (95% CI: 0.04–0.09, P < 0.001).

Table 2. Adjusted cross-sectional associations between cumulative biological risk score with common and internal carotid artery intima media thickness (CIMT) at baseline in the Mediators of Atherosclerosis in South Asians Living in America (MASALA) study, 2010–2013.
  Coefficient 95% CI P
Common CIMT, mm 0.01 0.01, 0.02 <0.001
Internal CIMT, mm
- < 55 years 0.02 0.01, 0.04 0.003
- ≥ 55 years 0.07 0.04, 0.09 <0.001
Note: Models adjusting for age, sex, study site, education, family income, marital status, insurance status, smoking status, vegetarian status, intentional exercise, alcohol intake, and years of residency in US.

The adjusted associations between cumulative biological risk score and CAC are shown in Table 3. At baseline, study participants with 1 point increase of cumulative biological risk score had 26% higher odds of CAC score between 0 and 400 (odds ratio [OR] = 1.26, 95% CI: 1.14–1.39, P < 0.001) and 41% higher odds of CAC ≥ 400 (OR = 1.41, 95% CI: 1.17–1.69, P < 0.001) compared to those with CAC score = 0. A 1 point increase of the cumulative biological risk score at baseline was associated with 30% higher odds of having new CAC (CAC score > 0) at the follow-up examination among individuals with CAC = 0 at baseline (OR = 1.30, 95% CI: 1.10–1.53, P = 0.002). For any CAC progression, a 1 point increase of cumulative biological risk score at baseline was associated with 17% higher CAC score increment, indicating more progression of CAC at follow-up visit with additionally adjusting for baseline CAC (rate ratio = 1.17, 95% CI: 1.10–1.24, P < 0.001).

Table 3. Odds ratio (OR) and 95% confidence interval (CI) of coronary artery calcium (CAC) score and rate ratio (RR) of CAC progression per 1 point increase on cumulative biological risk score in the Mediators of Atherosclerosis in South Asians Living in America (MASALA) study.
  Cases/n OR or RR 95% CI P
Baseline
-0<CAC score < 400 vs. 0 300/858 1.26 1.14, 1.39 <0.001
-CAC score ≥ 400 vs. 0 66/858 1.41 1.17, 1.69 <0.001
Follow-up development of CAC among individuals with CAC = 0 at baseline 107/383 1.30 1.10, 1.53 0.002
Any CAC progressiona 377/669 1.17 1.10, 1.24 <0.001
Note: Models adjusting for age, sex, study site, education, family income, marital status, insurance status, smoking status, vegetarian status, intentional exercise, alcohol intake, and years of residency in US.
aModeled as natural log of CAC score change +1 with additional adjusting for baseline CAC; exponentiated coefficient and 95% CI were reported as percent change per 1 point increase on cumulative biological risk score.

DISCUSSION

Our study investigated the associations between cumulative biological risk and subclinical atherosclerosis in the MASALA study, a cohort of middle- and older-aged South Asian immigrants in the US. Higher cumulative biological risk score was associated with higher risk of subclinical atherosclerosis assessed by both internal CIMT and CAC at baseline as well as CAC progression after 5 years of follow-up.

Evidence from our study is consistent with previous investigations that have examined the associations between cumulative biological risk or allostatic load with CVD. Cross-sectional analysis using data from the Boston Puerto Rican Health Study showed that higher allostatic load based on biomarkers, including serum dehydroepiandrosterone-sulfate (DHEA-S), urinary cortisol, urinary norepinephrine and epinephrine, systolic and diastolic blood pressures, plasma high-density lipoproteins (HDLs) cholesterol and total cholesterol, glycosylated hemoglobin, and waist circumference, was associated with higher risk of CVD assessed by self-reported heart disease, heart attack, or stroke in Puerto Ricans aged 45–75 years (72% of women) living in Boston, MA.11 Seeman et al. also demonstrated that a higher allostatic load score summarized by biomarkers of systolic blood pressure, diastolic blood pressure, waist-to-hip ratio, total cholesterol to HDL cholesterol ratio, glycated hemoglobin, urinary cortisol, urinary norepinephrine and epinephrine, HDL cholesterol, and DHEA-S was associated with higher incidence of CVD events after a 7 years of follow-up among men and women aged 70–79 years (51% women and 81% non-Hispanic white) living in Durham, NC, East Boston, MA, and New Haven, CT, in the MacArthur Successful Aging Study.26 Additionally, using data from Jackson Heart Study, higher allostatic load (summarized score of waist circumference, triglyceride to HDL ratio, low-density lipoproteins (LDLs) cholesterol, glycated hemoglobin, heart rate, systolic and diastolic blood pressures, CRP, serum cortisol, and aldosterone) was associated with increased incident of coronary heart disease among African American adults aged 21–94 years (66% women) after a median 9.9 years of follow-up.27 In the general US population, higher allostatic load score assessed by systolic and diastolic blood pressures, pulse, HDL and total cholesterol, waist-to-hip ratio, glycated hemoglobin, CRP, and albumin was associated with higher risk of CVD-specific mortality among individuals aged 25 years and older (84% non-Hispanic white) using data from the National Health and Nutrition Examination Survey III.23

In this cohort, about three quarters of South Asian participants had cumulative biological risk score ≥2, indicating having at least two factors at high risk. In our study, it is not possible to identify social determinants of this increased cumulative biological risk score as has been proposed in other studies, one possible reason could be immigration-related stress. Migration is a life-altering event that can have a lasting impact on multiple health domains. The vast majority of South Asian Americans are immigrants28 and are exposed to social and cultural stressors and discrimination after immigrating to the US resulting in an increased risk of dysregulation in multiple physiological processes.29,30 A potential pathway for higher cardiometabolic risk among South Asian immigrants could be higher psychosocial and environmental stress due to less social support, acculturative stress, and perceived discrimination.29,30 Stress and life event changes can activate hypothalamic–pituitary–adrenal axis and sympathetic–adrenal–medullary systems in multiple interdependent regulatory systems to cope with stressors and changes in order to achieve allostasis.31 Increased stress could result in high allostatic load, reflected in the aggregated total of systemic dysregulations across multiple physiologic regulatory systems including the cardiovascular, metabolic, immune, and neuroendocrine systems.31

To our knowledge, this is the first investigation examining cumulative biological risk and its association with subclinical atherosclerosis and its progression in South Asian immigrants. The MASALA study is the first large community-based South Asian cohort in the US, a minority that is not as extensively studied. We≈were able to account for several confounders in these analyses since carefully collected detailed information on covariates was available, and included traditional cultural beliefs, an important factor that influences lifestyle and acculturative stress in South Asian immigrants.

While there is a lack of a gold standard definition for components to include in the measurement for allostatic load, typically, indices include biomarkers across several domains including neuroendocrine, cardiovascular/autonomic, immune, and metabolic.31 Studies examining allostatic load include between 9 and 11 biomarkers,20 and in our analyses, we incorporated nine biomarkers, including systolic and diastolic blood pressure, triglycerides and total cholesterol, BMI, CRP, albumin, eGRF, and glycosylated hemoglobin; however, being limited to variables that had already been collected or measured in the cohort, our summary measure of cumulative biological risk included only secondary response biomarkers to stress, and primary stress mediators such as catecholamines and cortisol were not included in these analyses.

In addition, it is important to note that participants of the MASALA study were well educated with relatively high incomes and, therefore, may not have experienced the same stressors as less educated immigrants with lower incomes, and as such these associations may have been underestimated in our analyses. Another limitation is that among the MASALA study participants, mean years spent living in the US were27 years (SD = 10.8). Given the relatively longer length of stay, these findings may also not be generalizable to recent South Asian immigrants.

CONCLUSION

Cumulative biological risk was positively associated with prevalent subclinical atherosclerosis, and higher cumulative biological risk score was associated with progression of CAC in middle- and older-aged South Asian immigrants. Future studies focused on psychosocial and lifestyle factors associated with cumulative biological risk in immigrants are needed to better understand the underlying mechanisms for these increased risks.

Acknowledgments

The MASALA study was supported by the National Institutes of Health (grant number R01-HL-093009). Data collection at UCSF was also supported by NIH/NCRR UCSF-CTSI (grant number UL1 RR024131). This research was also supported by a pilot award from the Sumner Redstone Global Center for Prevention and Wellness at The George Washington University (PI: Talegawkar).

REFERENCES

  1. Connor P, Budiman A. Immigrant Share in U.S. Nears Record High but Remains Below That of Many Other Countries. Pew Research Center; 2019. Available from: https://www.pewresearch.org/fact-tank/2019/01/30/immigrant-share-in-u-s-nears-record-high-but-remains-below-that-of-many-other-countries/ [cited January 2021]
  2. Kanaya AM, Wassel C, Mathur D, Stewart A, Herrington D, Budoff M, Ranpura V, Liu K. Prevalence and correlates of diabetes in South Asian Indians in the United States: findings from the metabolic syndrome and atherosclerosis in South Asians living in America study and the multi-ethnic study of atherosclerosis. Metab Syndr Relat Disord. 2010;8(2):157–164. doi: 10.1089/met.2009.0062
  3. Kanaya AM, Herrington D, Vittinghoff E, Ewing SK, Liu K, Blaha MJ, Dave SS, Qureshi F, Kandula NR. Understanding the high prevalence of diabetes in US south Asians compared with four racial/ethnic groups: the MASALA and MESA studies. Diabetes Care. 2014;37(6):1621–1628. doi: 10.2337/dc13-2656
  4. Volgman AS, Palaniappan LS, Aggarwal NT, Gupta M, Khandelwal A, Krishnan AV, Lichtman JH, Mehta LS, Patel HN, Shah KS. Atherosclerotic cardiovascular disease in South Asians in the United States: epidemiology, risk factors, and treatments: a scientific statement from the American Heart Association. Circulation. 2018;138(1):e1–e34. doi: 10.1161/CIR.0000000000000580
  5. Hajra A, Li Y, Siu S, Udaltsova N, Armstrong MA, Friedman GD, Klatsky AL. Risk of coronary disease in the South Asian American population. J Am Coll Cardiol. 2013;62(7):644–645. doi: 10.1016/j.jacc.2013.05.048
  6. Klatsky AL, Tekawa I, Armstrong MA, Sidney S. The risk of hospitalization for ischemic heart disease among Asian Americans in northern California. Am J Public Health. 1994;84(10):1672–1675. doi: 10.2105/AJPH.84.10.1672
  7. Palaniappan L, Wang Y, Fortmann SP. Coronary heart disease mortality for six ethnic groups in California, 1990-2000. Ann Epidemiol. 2004;14(7):499–506. doi: 10.1016/j.annepidem.2003.12.001
  8. Wild SH, Laws A, Fortmann SP, Varady AN, Byrne CD. Mortality from coronary heart disease and stroke for six ethnic groups in California, 1985 to 1990. Ann Epidemiol. 1995;5(6):432–439. doi: 10.1016/1047-2797(95)00058-5
  9. Bainey KR, Gupta M, Ali I, Bangalore S, Chiu M, Kaila K, Kaul P, Khan N, King-Shier KM, Palaniappan L, et al. The burden of atherosclerotic cardiovascular disease in South Asians residing in Canada: a reflection from the South Asian heart alliance. CJC Open. 2019;1(6):271–281. doi: 10.1016/j.cjco.2019.09.004
  10. Seeman TE, Crimmins E, Huang M-H, Singer B, Bucur A, Gruenewald T, Berkman LF, Reuben DB. Cumulative biological risk and socio-economic differences in mortality: MacArthur studies of successful aging. Soc Sci Med. 2004;58(10):1985–1997. doi: 10.1016/S0277-9536(03)00402-7
  11. Mattei J, Demissie S, Falcon LM, Ordovas JM, Tucker K. Allostatic load is associated with chronic conditions in the Boston Puerto Rican Health Study. Soc Sci Med. 2010;70(12):1988–1996. doi: 10.1016/j.socscimed.2010.02.024
  12. Niiranen TJ, Enserro DM, Larson MG, Vasan RS. Multisystem trajectories over the adult life course and relations to cardiovascular disease and death. J Gerontol: Series A. 2018;74(11):1778–1785. doi: 10.1093/gerona/gly249
  13. Steptoe A, Hackett RA, Lazzarino AI, Bostock S, La Marca R, Carvalho LA, Hamer M. Disruption of multisystem responses to stress in type 2 diabetes: investigating the dynamics of allostatic load. Proc Natl Acad Sci. 2014;111(44):15693–15698. doi: 10.1073/pnas.1410401111
  14. Zsoldos E, Filippini N, Mahmood A, Mackay CE, Singh-Manoux A, Kivimäki M, Jenkinson M, Ebmeier KP. Allostatic load as a predictor of grey matter volume and white matter integrity in old age: the Whitehall II MRI study. Sci Rep. 2018;8(1):6411. doi: 10.1073/pnas.1410401111
  15. Gruenewald TL, Seeman TE, Karlamangla AS, Sarkisian CA. Allostatic load and frailty in older adults. J Am Geriatr Soc. 2009;57(9):1525–1531. doi: 10.1111/j.1532-5415.2009.02389.x
  16. Robertson T, Beveridge G, Bromley C. Allostatic load as a predictor of all-cause and cause-specific mortality in the general population: evidence from the Scottish Health Survey. PLoS One. 2017;12(8):e0183297. doi: 10.1371/journal.pone.0183297
  17. Kanaya AM, Kandula N, Herrington D, Budoff MJ, Hulley S, Vittinghoff E, Liu K. Mediators of Atherosclerosis in South Asians Living in America (MASALA) study: objectives, methods, and cohort description. Clin Cardiol. 2013;36(12):713–720. doi: 10.1002/clc.22219
  18. King KE, Morenoff JD, House JS. Neighborhood context and social disparities in cumulative biological risk factors. Psychosom Med. 2011;73(7):572–579. doi: 10.1097/PSY.0b013e318227b062
  19. Merkin SS, Basurto-Davila R, Karlamangla A, Bird CE, Lurie N, Escarce J, Seeman T. Neighborhoods and cumulative biological risk profiles by race/ethnicity in a national sample of U.S. adults: NHANES III. Ann Epidemiol. 2009;19(3):194–201. doi: 10.1016/j.annepidem.2008.12.006
  20. Duong MT, Bingham BA, Aldana PC, Chung ST, Sumner AE. Variation in the calculation of allostatic load score: 21 examples from NHANES. J Racial Ethn Health Disparities. 2017;4(3):455–461. doi: 10.1007/s40615-016-0246-8
  21. Levey AS, Stevens LA, Schmid CH, Zhang YL, Castro AF, Feldman HI, Kusek JW, Eggers P, Van Lente F, Greene T. A new equation to estimate glomerular filtration rate. Ann Intern Med. 2009;150(9):604–612. doi: 10.7326/0003-4819-150-9-200905050-00006
  22. Ainsworth BE, Haskell WL, Whitt MC, Irwin ML, Swartz AM, Strath SJ, O’brien WL, Bassett DR, Schmitz KH, Emplaincourt PO. Compendium of physical activities: an update of activity codes and MET intensities. Med Sci Sports Exerc. 2000;32(9):S498–S516. doi: 10.1097/00005768-200009001-00009
  23. Borrell LN, Rodríguez-Álvarez E, Dallo FJ. Racial/ethnic inequities in the associations of allostatic load with all-cause and cardiovascular-specific mortality risk in U.S. adults. PLoS One. 2020;15(2):e0228336. doi: 10.1371/journal.pone.0228336
  24. Talegawkar SA, Jin Y, Kandula NR, Kanaya AM. Cardiovascular health metrics among South Asian adults in the United States: prevalence and associations with subclinical atherosclerosis. Prev Med. 2017;96:79–84. doi: 10.1016/j.ypmed.2016.12.017
  25. Jin Y, Kanaya AM, Kandula NR, Rodriguez LA, Talegawkar SA. Vegetarian diets are associated with selected cardiometabolic risk factors among middle-older aged South Asians in the United States. J Nutr. 2018;148(12):1954–1960. doi: 10.1093/jn/nxy217
  26. Seeman TE, McEwen BS, Rowe JW, Singer BH. Allostatic load as a marker of cumulative biological risk: MacArthur studies of successful aging. Proc Natl Acad Sci. 2001;98(8):4770–4775. doi: 10.1073/pnas.081072698
  27. Gillespie SL, Anderson CM, Zhao S, Tan Y, Kline D, Brock G, Odei J, O’Brien E, Sims M, Lazarus SA. Allostatic load in the association of depressive symptoms with incident coronary heart disease: the Jackson heart study. Psychoneuroendocrinology. 2019;109:104369. doi: 10.1016/j.psyneuen.2019.06.020
  28. Demographic Characteristics of South Asian in the United States: Emphasis on Poverty, Gender, Language Ability, and Immigration Status. South Asian American Leaders of Tomorrow. Available from: https://saalt.org/wp-content/uploads/2012/09/Demographic-Characteristics-of-SA-in-US-20001.pdf [cited January 2021]
  29. Bhattacharya G, Schoppelrey SL. Preimmigration beliefs of life success, postimmigration experiences, and acculturative stress: South Asian immigrants in the United States. J Immigr Health. 2004;6(2):83–92. doi: 10.1023/B:JOIH.0000019168.75062.36
  30. Tummala-Narra P, Inman AG, Ettigi SP. Asian Indians’ responses to discrimination: a mixed-method examination of identity, coping, and self-esteem. Asian Am J Psychol. 2011;2(3):205. doi: 10.1037/a0025555
  31. McEwen BS. Stress, adaptation, and disease: allostasis and allostatic load. Ann New York Acad Sci. 1998;840(1):33–44. doi: 10.1111/j.1749-6632.1998.tb09546.x